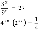
[indices1.GIF]